欢迎访问云南西力生物技术股份有限公司!证券代码:871574
首页 资 讯 西力公众号
谁浊谁清?谁醉谁醒?——文献溯源,厘清鸢尾甲黄素A和鸢尾甲黄素B的结构与名称对应关系
发布时间:2024-10-08 阅读数:607 来源:原创
分享到:

鸢尾(Iris tectorum)为鸢尾科鸢尾属多年生草本植物。现代研究表明,鸢尾植物中含有丰富的异黄酮,包含鸢尾苷(tectoridin)、鸢尾苷元(tectorigenin)、鸢尾新苷(iristectorin B)、鸢尾甲黄素A(iristectorigenin A)、鸢尾甲黄素B(iristectorigenin B)、尼泊尔鸢尾异黄酮(irisolidone)、德鸢尾素(irilone)和7-O-甲基鹰嘴豆芽素A(7-O-methylbiochanin A)等成分,具有抗炎、抗病毒、抑菌和止咳等多种药理作用。鸢尾甲黄素A和鸢尾甲黄素B为同分异构体,二者结构区别仅在于母核骨架异黄酮B环的羟基和甲氧基取代位置差异(互换。西力生物结构鉴定组在鉴定这两个化合物时发现,文献中这两个化合物结构与名称的对应关系非常混乱,且存在张冠李戴现象。代表性文献(图1–2)及其SciFinder数据库收录(图3)如下


Fig. 1 The structures of iristectorigenins A and B in Phytochemistry, 1991, 30(1), 157–163


Fig. 2 The structures of iristectorigenins A and B in Chin J Nat Med, 2010, 8(3), 0202–0207

Fig.3 The structures of iristectorigenin A and B in SciFinder 


从上述截图中可以看到,文献之间、文献与SciFinder收载存在矛盾。到底谁是鸢尾甲黄素A(iristectorigenin A)?谁是鸢尾甲黄素B(iristectorigenin B)呢?是选择跟SciFinder数据库收录保持一致还是花时间和精力去追踪源头文献,解决这个结构和名称用法混乱问题?我们选择了后者。经过对多篇文献进行追踪调查,发现iristectorigenin A首次收载于"Studies on Medicinal Resources. XXXII. The Components of Rhizome of Iris tectorum MAXIMOWICZ (Iridaceae)"为题的文献中,如下图4所示:


Fig. 4 The structure of iristectorigenin A in original reference in Chem Pharm Bull, 1972, 20(4), 730–733


        iristectorigenin B首次收载于"Studies on Medicinal Resources. XXXIII. The Components of Rhizome of Iris tectorum MAXIMOWICZ (Iridaceae). (2)"为题的文献中,如下图5所示:


Fig. 5 The structure of iristectorigenin B in original reference in Yakugaku Zashii, 1972, 92(8), 1052–1054


至此,追踪源头文献,鸢尾甲黄素A(iristectorigenin A)和鸢尾甲黄素B(iristectorigenin B)对应的结构与名称关系一目了然,如下图6所示:


Fig. 6 The correct corresponding relationships of the structures and names of iristectorigenins A and B


SciFinder数据库收录的这两个化合物结构和名称与源头文献是不吻合的,即收录有误!!!

此外,SciFinder数据库收录的由鸢尾甲黄素B在C-7位与β-D葡萄糖结合形成的鸢尾新苷B(iristectorin B)别名名称也需要纠正,如图7所示。[注:SciFinder数据库没有收录由鸢尾甲黄素A在C-7位与葡萄糖结合形成的鸢尾新苷A(iristectorin A)的别名。]


Fig. 7 The revised synonym of iristectorin B in SciFinder


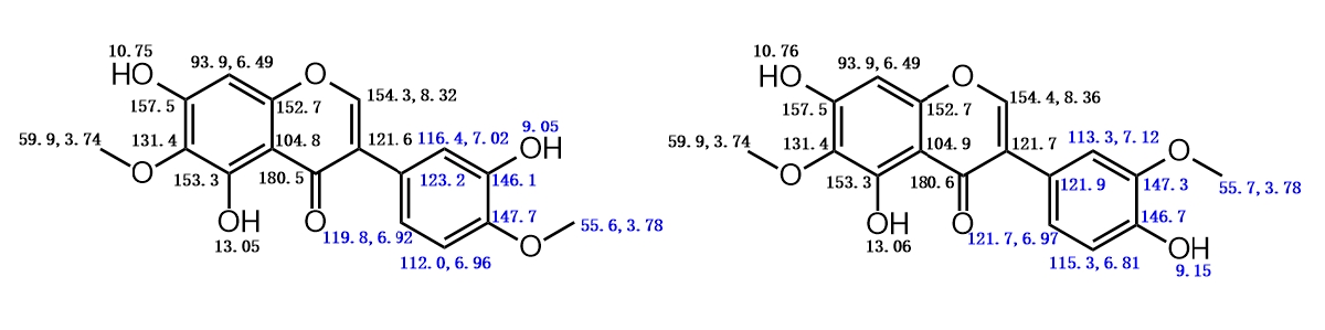
另外,鉴于这两个化合物在文献中的混乱现象,西力生物结构鉴定组利用HMBC和ROESY图谱将两个化合物的氢碳核磁数据进行了全归属,测试溶剂:DMSO-d6,如图8所示:


Fig. 8 The assignments of iristectorins A and B


同时,鉴于这两个化合物在文献中的混乱现象,西力生物质量分析部将两个化合物的HPLC(如图9)进行比较,方便同行直观比对两者之间的差异。色谱条件:安捷伦Extend-C18色谱柱5µm, 4.6 mm ×150 mm;流动相为甲醇(A)-0.1%磷酸水溶液(B);两相梯度洗脱,洗脱程序如下:


Time (min)

A

B

0

40%

60%

15

48%

52%

20

58%

42%

25

70%

30%

Fig. 9 The HPLC of iristectorigenin B (top), iristectorigenin A (middle) and mixture (bottom)


西力生物秉承科研人员的专业性与严谨性,以云西力”品牌为旗帜,以质量为灵魂,献中化合物结构与名称的混乱对应关系采取了数据质疑、文献溯源、标物实测并进一步确证的策略,寻着文献间彼此引用的时间轨迹,抽丝剥茧,层层推演,将已发现的部分貌同实异的天然化合物予以正本清源还原其真实容貌,进而确保为从事相关研究的科研用户和企业用户提供高质量、高标准的基础物质支持。

ewm.jpg 微信公众号
11.jpg 移动官网
特别声明:禁止在未经同意情况下转载本网站信息,BioBioPha品牌产品均由西力生物独家生产与销售,仅用于科学研究或企业研发!
版权所有 2019-2025 云南西力生物技术股份有限公司 BioBioPha 滇ICP备09000810号-1滇公安备案号 53019002000069号
技术支持:奥远科技

联系客服